• Haberler
  • Bölgesel
  • (29.04.2017) Yeni KHK ile kamu kurumlarından ihraç edilen 3939 kişi tam listesi

(29.04.2017) Yeni KHK ile kamu kurumlarından ihraç edilen 3939 kişi tam listesi

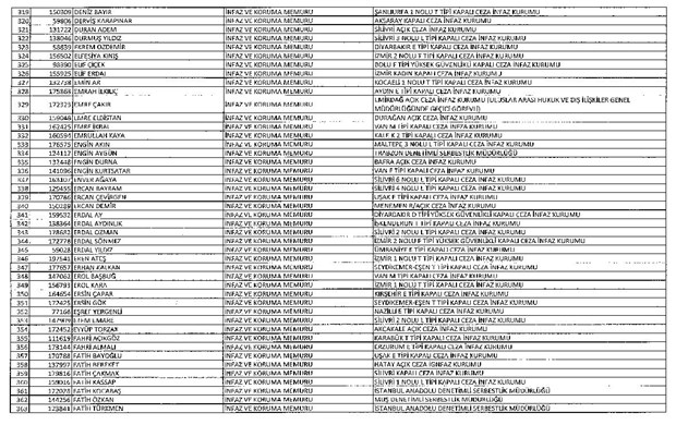
Olağanüstü hal kapsamında kamu görevinden çıkarılanlara ilişkin listelerin de bulunduğu 689 ve 690 Sayılı Kanun Hükmünde Kararname, Resmi Gazete'nin mükerrer sayısında yayımlandı.

(29.04.2017) Yeni KHK ile kamu kurumlarından ihraç edilen 3939 kişi tam listesi
TAKİP ET Google News ile Takip Et

Olağanüstü hal kapsamında kamu görevinden çıkarılanlara ilişkin listelerin de bulunduğu 689 ve 690 Sayılı Kanun Hükmünde Kararname, Resmi Gazete'nin mükerrer sayısında yayımlandı.

  • 1

     

    Olağanüstü hal kapsamında kamu görevinden çıkarılanlara ilişkin listelerin de bulunduğu 689 ve 690 Sayılı Kanun Hükmünde Kararname, Resmi Gazete'nin mükerrer sayısında yayımlandı.

    İki yeni KHK ile 3939 kişi kamu kurumlarından atıldı.

     

  •  

     

     
  • 3

     

     
  • 4

     

     
  • 5

     

     
  • 6

     

     
  • 7

     

     
  • 8

     

     
  • 9

     

     
  • 10

     

     
  • 11

     

     
  • 12

     

     
  • 13

     

     
  • 14

     

     
  • 15

     

     
  • 16

     

     
  • 17

     

     
  • 18

     

     
  • 19

     

     
  • 20

     

     
  • 21

     

     
  • 22

     

     
  • 23

     

     
  • 24

     

     
  • 25

     

     
  • 26

     

     
  • 27

     

     
  • 28

     

     
  • 29

     

     
  • 30

     

     
  • 31

     

     
  • 32

     

     
  • 33

     

     
  • 34

     

     
  • 35

     

     
  • 36

     

     
  • 37

     

     
  • 38

     

     
  • 39

     

     
  • 40

     

     
  • 41

     

     
  • 42

     

     
  • 43

     

     
  • 44

     

     
  • 45

     

     
  • 46

     

     
  • 47

     

     
  • 48

     

     
  • 49

     

     
  • 50

     

     
  • 51

     

     
  • 52

     

     
  • 53

     

     
  • 54

     

     
  • 55

     

     
  • 56

     

     
  • 57

     

     
  • 58

     

     
  • 59

     

     
  • 60

     

     
  • 61

     

     
  • 62

     

     
  • 63

     

     
  • 64

     

     
  • 65

     

     
  • 66

     

     
  • 67

     

     
  • 68

     

     
  • 69

     

     
  • 70

     

     
  • 71

     

     
  • 72

     

     
  • 73

     

     
  • 74

     

     
  • 75

     

     
  • 76

     

     
  • 77

     

     
  • 78

     

     
  • 79

     

     
  • 80

     

     
  • 81

     

     
  • 82

     

     
  • 83

     

     
  • 84

     

     
  • 85

     

     
  • 86

     

     
  • 87

     

     
  • 88

     

     
  • 89

     

     
  • 90

     

     
  • 91

     

     
  • 92

     

     
  • 93

     

     
  • 94

     

     
  • 95

     

     
  • 96

     

     
  • 97

     

     
  • 98

     

     
  • 99

     

     
  • 100

     

     
  • 101

     

     
  • 102

     

     
  • 103

     

     
  • 104

     

     
  • 105

     

     
  • 106

     

     
  • 107

     

     
  • 108

     

     
  • 109

     

     
  • 110

     

     
  • 111

     

     
  • 112

     

     
  • 113

     

     
  • 114

     

     
  • 115

     

     
  • 116

     

     
  • 117

     

     
  • 118

     

     
  • 119

     

     
  • 120

     

     
  • 121

     

     
  • 122

     

     
  • 123

     

     
  • 124

     

     
  • 125

     

     
  • 126

     

     
  • 127

     

     
  • 128

     

     
  • 129

     

     
  • 130

     

     
  • 131

     

     
  • 132

     

     
  • 133

     

     
  • 134

     

Bakmadan Geçme